Kúpiť, či nekúpiť? Ceny nehnuteľností sa šialene dvíhajú, Bratislava už zlomila rekord

Ivana Sladkovská | rubrika: Článok | 9. 5. 2025
Ceny bývania vzrástli medzi štvrťrokmi o 4 %, pričom najvýraznejší skok nastal medzi decembrom a januárom. Tento trend je poháňaný najmä staršími bytmi, ktoré zdraželi rýchlejšie než novostavby. Priemerné ceny bytov tak prekonali úroveň z roka 2022 a dosiahli nové historické maximá. Bratislava a Košice sú lídrami tohto rastu, kde ceny starších bytov dosiahli rekordné výšky.
Kúpiť, či nekúpiť? Ceny nehnuteľností sa šialene dvíhajú, Bratislava už zlomila rekord

Zdroj: Shutterstock

Začiatok roka 2025 priniesol na realitný trh nečakané oživenie a prudké zdražovanie, ktoré prekvapilo aj skúsených analytikov. Ceny bývania totiž medzi štvrťrokmi vzrástli až o 4 %, pričom najvýraznejší cenový skok sa odohral medzi decembrom a januárom. Ukazuje to nová analýza NBS. Hlavným motorom tohto rastu boli predovšetkým staršie byty, ktoré zaznamenali oveľa rýchlejšie zdražovanie než novostavby. Týmto vývojom sa priemerné ceny bytov dostali späť nad úroveň z roka 2022 a prekonali dokonca aj predchádzajúce historické maximá.

Rast cien ťahajú Bratislava a Košice

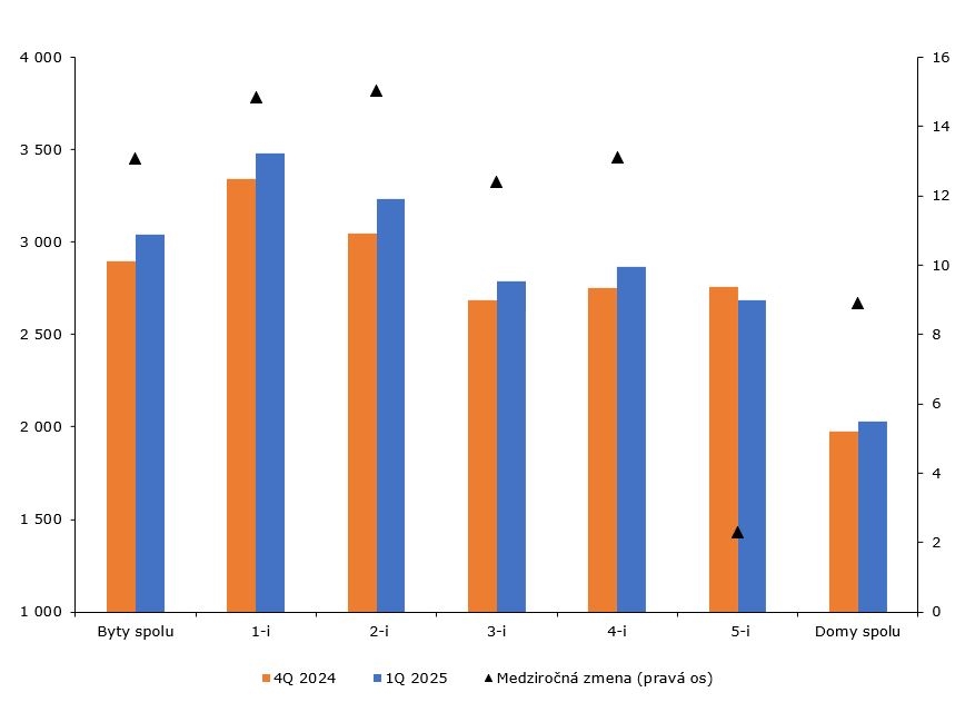
Regionálne dominujú Bratislavský a Košický kraj, kde sa ceny bytov vyšplhali najvýraznejšie. V Bratislave sa o tento rast postarali najmä staršie byty, zatiaľ čo v Košiciach rástli ceny naprieč celým spektrom. Bratislava zároveň zaznamenala najvyššiu priemernú cenu bytov v histórii – až 3041 EUR za meter štvorcový, čo predstavuje medzikvartálny nárast o 5 %, teda o 145 EUR/m². Medziročné tempo zdražovania tu dosiahlo až 13,1 %. Najviac pritom narástli ceny dvojizbových bytov, zatiaľ čo veľké, päťizbové byty zaznamenali mierny pokles.

NBS, NARKS, United Classifieds

Graf 1: Vývoj priemernej ceny bývania (medziročná a medzištvrťročná zmena v %).

NBS, NARKS, United Classifieds

Graf 2: Dekompozícia cenového rozdielu (v EUR/m2)

Zaujímavým zistením je, že staršie byty zdraželi v priemere o 6 %, kým nové byty len o 3,4 %. Tento vývoj ide proti očakávaniam spojeným s rastom DPH, ktorý mal tlačiť na ceny novostavieb. Podľa údajov NBS sa však tento efekt zatiaľ plne neprejavil, a tak sa rozdiel medzi cenami starších a nových nehnuteľností nečakane zmenšil.

Ponuka nehnuteľností sa zároveň po troch štvrťrokoch poklesu konečne zväčšila. V prvom štvrťroku 2025 pribudlo o 7 % viac inzerovaných nehnuteľností, pričom najviac pribudli rodinné domy. Tie dosiahli najväčší podiel na celkovom objeme ponuky za posledné roky. Cena domov taktiež rástla, hoci miernejším tempom – v priemere o 2,7 %, čo znamená nárast o 53 EUR/m² na úroveň 2031 EUR/m².

NBS, NARKS, United Classifieds

Graf 3: Vývoj priemernej ceny bytov a domov (úroveň v EUR/m2, medziročná zmena v %)

NBS, NARKS, United Classifieds

Graf 5: Ceny novostavieb a starších nehnuteľností (percentuálny rozdiel)

Najrýchlejšie tempo rastu cien bývania zaznamenal Košický kraj, kde ceny vzrástli o 5,7 %. Bratislavský kraj bol hneď za ním s 5,1 %. Okrem hlavných miest týchto krajov zdražovanie zasiahlo aj menšie mestá ako Senec, Pezinok, Rožňava, Gelnica či Spišská Nová Ves. Na opačnom konci spektra sa nachádzajú Nitriansky a Žilinský kraj, kde ceny bývania klesli zhodne o 1 %, zatiaľ čo v Banskobystrickom kraji zostali prakticky bez zmeny.

Rast cien na trhu však nezodpovedá vývoju na hypotekárnom trhu. Technické komplikácie v úvode roka spomalili poskytovanie nových úverov, čo viedlo k rozdielnemu vývoju medzi objemom hypoték a rastom cien nehnuteľností. Aj napriek tomu zostáva dopyt po bývaní na Slovensku silný, čo naznačujú nielen dáta o ponukových cenách, ale aj počet podpísaných zmlúv.

NBS, NARKS, United Classifieds

Graf 6: Vývoj priemernej ceny bývania v krajoch (úroveň v EUR/m2, medziročná zmena v %)

NBS, NARKS, United Classifieds

Graf 7: Ceny nehnuteľností po mesiacoch (úroveň v EUR/m2)

NBS, NARKS, United Classifieds

Graf 8: Rast cien nehnuteľností a úvery na bývanie (medziročný rast v %, mil. EUR)

Začiatok roka teda ukázal, že realitný trh je opäť v pohybe, a to predovšetkým vďaka silnému rastu cien v najväčších mestách Slovenska. Vývoj na trhu bude v nasledujúcich mesiacoch pozorne sledovaný, keďže kombinácia rastúcich cien, inflácie a stále prísnych podmienok na získanie hypotéky môže v ďalšom priebehu roka priniesť nové výzvy pre kupujúcich aj predávajúcich.

Ivana Sladkovská

Autor článku Ivana Sladkovská

Šéfredaktorka portálu Peniaze.sk. Venuje sa najmä servisným ekonomickým témam štátnych dávok, dôchodkov a sociálnych výhod. Ďalšie články autora.

Porovnajte si ponuky, vyberte tú najvýhodnejšiu a ušetrite.

Ušetrite na hypotéke a životnom poistení alebo s nami sporte a zarobte viac. Nechajte si od nás porovnať ponuky a vyberte si tú najvhodnejšiu pre vás.

Páčil sa vám článok?

+2
ÁnoNie
Vstúpiť do diskusie
V diskusii je celkom 0 komentárov

Toto ste už čítali?

NBS ukázala, ako rastú ceny nehnuteľností. V jednom kraji však bývanie zlacnelo

5. 11. 2025 | Miroslav Homola

NBS ukázala, ako rastú ceny nehnuteľností. V jednom kraji však bývanie zlacnelo

Ceny bytov a domov v inzerátoch stúpli o 1,3 percenta, upozornila Národná banka Slovenska (NBS). Za rastom stojí najmä vyššia ponuka bytov. Štatistiky zároveň ukázali, že bývanie je... celý článok

Konsolidácia otrasie realitným trhom. Niektorí majitelia budú musieť predať byty

17. 10. 2025 | Miroslav Homola

Konsolidácia otrasie realitným trhom. Niektorí majitelia budú musieť predať byty

Tretí balík konsolidačných opatrení sa dotkne aj realitného trhu. Zvýšené dane, odvody a slabší ekonomický rast prinútia časť majiteľov predať druhé, tretie či rekreačné nehnuteľnosti.... celý článok

Druhá šanca pre brownfieldy: CONTERA pretvára opustené miesta na priestor pre budúcnosť

30. 9. 2025 | Natália Stašíková

Druhá šanca pre brownfieldy: CONTERA pretvára opustené miesta na priestor pre budúcnosť

Staré priemyselné areály, ktoré ešte nedávno chátrali, dnes ponúkajú priestor pre nové firmy, udržateľné riešenia aj architektúru s víziou. Ako sa z brownfieldov stávajú miesta s pridanou... celý článok

Ako môže sused ovplyvniť povolenie stavby? Kľúčové je konať včas

16. 9. 2025 | Barbora Magočová

Ako môže sused ovplyvniť povolenie stavby? Kľúčové je konať včas

Stavebná činnosť na susednom pozemku dokáže ľahko narušiť pokojné susedské spolunažívanie. Zvýšený hluk a prašnosť pri výstavbe nikomu na pohode nepridajú; negatívne zmeny pomerov v... celý článok

Kataster sa zatvára, pripravte si občiansky. Po novom neuvidíte cudzie majetky

27. 8. 2025 | Miroslav Homola

Kataster sa zatvára, pripravte si občiansky. Po novom neuvidíte cudzie majetky

Od júla budúceho roka sa sprísnia pravidlá prístupu k online údajom z katastra nehnuteľností. Úrad geodézie navrhuje povinnú autentifikáciu cez elektronický občanský preukaz (eID),... celý článok